Thread #16871863 | Image & Video Expansion | Click to Play
HomeIndexCatalogAll ThreadsNew ThreadReply
H
It's been 14 years since 4chan /sci/ posters solved a math open problem. Why has it been so long? What changed since 2011 that made 4chan users unable to solve math problems?
We need to go back
+Showing all 106 replies.
>>
Different demographic, 4chan is not 4chan
>>
>>16871863
I mean, we trained sand to do maths.
Training a bunch of faggots to do the same couldn't be any harder than that.
>>
>>16871863
Go back and read threads from that era. There was some better top end content but most of it was just as worthless as what's discussed now. And /sci/ never touched the quality of the Space Elevator threads on /pol/.
At least the "Why did he do it?" threads have stopped. Too bad the "Does 1 really equal 0.999..." threads are still common.
>>
visit other sites
>>
>>16871863
Back then, 4chan wasn't a p*rn*graphic jesspit.
>>
>>16871863
Once upon a time, /jci/ was /sci/.
>>
we have AI now
>>
>>16871863
Your excerpt explains exactly what happened. This online bulletin board has become littered with hateful, violent and extreme concept.
>>
don't worry guys, s3 or a snowy mou ntain syndrome movie will bring back the smart ones back to the board
>>
>>16871863
It's hard trying to have productive discussions here sometimes. Newposters say things with no substance or shitpost to oblivion where other anons come in discussion thinking that's the way things are. Qualityposting was the norm here. Shitposting is the norm now. There was a culture shift that disparages the intellectuals wanting serious discussions. With the advent of AI, you can bounce ideas around better than here so why bother coming here? It's sad. The anons who don't care continue to degrade the place while the anons who do get ignored or gets unsufficient information. Why would a smart person continue to be here if there is an inverse proportion of quality information?
>>
>>16871863
We solved covid within like a weak though?
fake and gay
>>
File: scientist.jpg (112.7 KB)
112.7 KB
112.7 KB JPG
>>16871863
The tone of discussion everywhere changed around the time Reddit decided it needed to start enforcing ideological conformity. Once the blessed ideology tasted control over discourse, they wanted to have it everywhere. Not sure if mods here were poisoned by that mindset or people with that mindset started volunteering to be mods, but either way, large segments of science that had been open to free discussion were now off limits. Going against the ideology, no matter how much evidence a poster could cite to back up their statements, started resulting in bans. That drove off a large segment of the quality posters since everyone sooner or later would make a misstep and step on an ideological land mind, especially since the rules of the blessed ideology were in constant flux.
This lead to the hivemind phase. Which lead to the edgy phase as it became a bit of a contest to see what mods would ban people for. It wasn't difficult to come up with valid science posts that were ideologically non-conformant. Mods had to ban more and more anons, which lead to word getting around about the moderation. The board became a war zone. Eventually ownership got tired of seeing so many bans driving off users. The site can't generate revenue if the mods are too ban happy. That lead to the weak moderation era we're in now. Ideological conformity no longer is enforced by the mods but most of the former posters left long ago. Now it's mostly casuals having the same conversations over and over again.
One thing remains constant. There will always be someone posting "Does 0.999... really equal 1?"
>>
File: Collatz.png (208.4 KB)
208.4 KB
208.4 KB PNG
>>16871863
Proof Of Collatz
>Every number is either odd or even
Odd = X
Even = 2^n or 2^n(X)
>Every Even resolves to Odd 2x -> x on Col(n)
>To prove every Odd resolves to a Power of 2
>All Odd numbers are of form X where X is the odd number
>X on 3X+1 becomes a power of 2 in the form 2^p because g^p = mN+1 where g=2 m=3 N=X, gcd(2,X)=1 via Euler’s theorem
>The new number formed of form 2^p requires p steps to reduce to the 4-2-1 chain
>>Hence every Even -> Odd -> Power of 2 -> 1
>>
>>16875084
Literally slitch your post into a smart contract and act as though everyone who agrees with each part is a modeling effigy
Trivial to synchronize filter data here
>>
>>16874966
What's /jci/?
>>
>>16881638
It's what /sci/ morphed into.
Or it's what /sci/ is now.
>>
I actually did prove collatz but i won't post it here, and it's in the works i have to prep the manuscript and when you hear about it it will be months or even a year from now, but here is what to look for so you have verification "64", "words", "danger", "cylinder“, probably posted to jxm, and it will be full global proof, ss this if you care, i guess
>>
>>16871863
It is about 5 years since 4ch solved the xenon anomaly on Mars. Funnily, most seem to have forgotten it and people are back at it on >>16877095
>>
>>16871863
COVID destroyed this board. it's only been recovering recently, with the captcha changes, though that also drives away people.
but in general, 4chan has decayed a lot. you can blame the mods, especially rapeape.
>>
>>16882171
>rapeape
"In a 2020 interview with Vice Media, several current or past moderators spoke about what they perceived as racist intent behind the site's management. They alleged that a managing moderator, known online as RapeApe, was attempting to use the site as a recruitment tool for the alt-right, and that Nishimura was "hands-off, leaving moderation of the site primarily to RapeApe." Neither Nishimura nor RapeApe responded to these allegations.[56] Far-right extremism has been reported by public authorities, commentators and civil society groups as connected, in part, to 4chan, an association that had arisen by 2015.[57][58] According to 4chan's filings to the New York Attorney General's Office, 4chan signed an agreement to pay RapeApe $3,000 a month for their services in 2015. By May 2022, that fee had risen to $4,400 a month. The submitted documents also revealed RapeApe lamenting that 4chan was "getting the shaft" over the Buffalo terrorist attack and his attempt to persuade the advertising platform Bid.Glass to reverse their exit from the website.[59]"
>>
>>16871863
DARK REALMS
>>
>>16871863
I would solve them. But then all it would do is help a jeet get a passing grade so I am morally obliged to avoid solving any of the problems posted here.
>>
>>16882171
Yes, /sci/ was far better back when we banned people for stating that males could not be women.
>>
>>16875002
Nonsense. Internet used to be much more free, everywhere. Reddit had lots of boards shitting on blacks and fatties in the most cruel way possible. And it was hilarious.

4chan didn't change. the world changed.
>>
>>16882927
read the bullshit you wrote and do a logical analysis. then think about it.
how the fuck did you even find this place, you ABSOLUTE RETARD?
>>
>>16882927
Low-tier bait you fucking dunce, go suck start a 12-guage.
>>
>>16881754
That’s a wild claim, but keywords ain’t proof. If it’s really a full global Collatz proof, there should be at least one concrete lemma, invariant, or step somebody can actually check right now. “In the works” and breadcrumbs don’t verify anything. Drop math when it’s ready, I’ll look at it then.
>>
>>16877442
This isn’t a proof. You’re treating a modular result like an exact equality, and that jump isn’t valid. Euler’s theorem doesn’t say 3x+1 becomes a power of two, it only gives a congruence. Most odd numbers don’t satisfy 3x+1 = 2^p, one counterexample breaks the whole argument. Go back to primary school retard, or learn to fact check your shit first.
>>
>>16883039
I overclaimed, i don't have massive compute but I did discover the structure of the tail, diagonal to ttao, i have written majority of the paper and appendix for continuing the experiment on big compute, as well as zenodo dataset, let me upload a skeleton version and you can check the math
>>
>>16883043
I'll wait here for 30 minutes while I eat lunch. I don't have much more time than that I have to get back to teaching
>>
>>16883051
The math checks out for what it’s doing but it’s not a full collatz proof... It only shuts down specific growth patterns we actually observed, (only up to a fixed depth and range). It never proves every trajectory falls into those cases, or some other pattern or combo can’t keep continuing later. It’s strong structure and data backed, but I feel it's short of a global solve.
>>
>>16883059
>>16883046
links deleted for opsec but thanks for looking, i know i couldn't solve it because of the lack of compute, the tails have structure but they cannot be trivially compressed, if you have access to big compute you can continue, directions in appendix
>>
>>16883040
3x+1 eventually becomes a power of 2 on multiple applications of 3x+1 on a odd number, you can just postpone the multiplication of 1/2 of even Col(n) at the last when it becomes a power of 2 rather than doing it right after, treating the even and odd part of the number separately.
>>
>>16883103
The collatz conjecture is basically asking if an odd number on 3x+1 multiple times becomes a power of 2, the /2 doesnt affect the odd part, and it does become a power of 2
>>
>>16883108
It becomes a power of 2 because 3x+1 = 2^n has infinite solutions
>>
>>16883110
Fuck, I see it now. Escaping to infinity is complete garbage as a concept

Yep, they all hit upon sufficient increase.
>>
>>16871863
As >>16871889 said, demographics have changed for somehow worse than before.
Effort-posting is discouraged because bait gets more replies. I have effort-posted and it gets barely any attention compared to obvious bait. Need I say anything about the retarded 0.99999...=1 threads? The pop-sci questions over and over? Hell, a collatz slapfight has invaded this post as I type this, which proves my point.

You can't talk in /med/ without the same schizo immediately trying to peddle their gay snake oil and strawmen, demanding that you deboonk their entire viewpoint and linking 10+ hours of random 1k view videos that are just "me feels good after taking this" or unfalsifiable shit. You can't talk physics/CS because the average /sci/ user perceives any disagreement or inquisitive tone as a personal attack. I have never seen an OP change their mind, ever, not even if they frame it as a CMV. Asking someone for proof for a claim is not the same as if I called you retarded.

There is a reason why every-time somebody does an OP where they want anons to post results of a personality test anywhere on 4chan, 95% of the anons replying are either paranoid/asthenic schizoids or depressed autists. Once I realized that the only people here are either belligerent autists that think that they are legally obligated to respond to all bait because muh special interest and paranoid old schizos who advertise snake oil and post their schizophasia in LaTeX as a millennium problem proof, then accuse you of being a fed because you pointed out the error in Lemma 0.1, then repeat it again with another paper, the issue is more clearer.

I and everybody I know that used 4chan has noticed that your desire to come here is proportional to how fucked you are. This site felt addictive when I was depressed but now that I'm recovering I cannot bear to even look at it more than once a month. I die of cringe looking at the catalog here. Nobody who is smart posts here chronically.
>>
>>16871863
Bump
>>
>>16883132
Good post. I come here on and off, mostly to satiate my dopamine urges. I will break free though.
>>
>>16883132
Might hold your post in higher esteem if you actually knew what autism is instead of going with the glib 4chan definition.
>>
>>16883132
>your desire to come here is proportional to how fucked you are.
I totally agree but there was a sweet spot and I think everyone just got sad and even people who don't post are fucked. The world totally went to shit like fifteen years ago and never recovered depending on who you talk to. So by like 2012 everyone was legit getting emo bc life legit sucked unbelievably. After life sucks hard enough, you get a shitty gf then life suddenly sucks ten thousand times more. You spend all your time working or taking care of someone who basically intentionally doesn't take care of themselves
>>
>>16883132
Doesn't help matters when there are several independent groups all raiding the site 24/7, specifically to drive quality into the ground
Just look at how post quality skyrockets for a few hours every time Israel gets rocketed
>>
>>16871863
bump
>>
>>16883336
>>16884752
why are you bumping so much? this is a shitty thread
also, posting interesting conversation others can reply to is more effective than bumping
>>
>>16884815
Why are you trying to defend a lack of innovation? Trying to attack the teleology of discovery in any way?
>>
well, 4chan also discovered the sleepsort algorithm
but that was a different era. now it's full of poltards, bots and retards
t.retard
>>
>>16871863
2011 was a rare year, actual research here is not likely since even a hobbyist will eventually publish in some chance, rather than simply posting an interesting result.
>>
>>16871863
No one cares about this retarded combinatorics problem
>>
>What changed since 2011 that made 4chan users unable to solve math problems?
With users like this:
>>16890044
what do you expect?
>>
>>16886807
Wait...we did?
>>
>>16892244
yeah
>we
did, google it. some anon posted it on /prog/
guess what happened to that board...
>>
What was the Haruhi problem?
>>
>>16871863
If I had to guess a lot of the posts on here don’t really help scientific discussion. Also, I’m seeing a lot of people on this board just saying scientifically, or mathematically wrong stuff, and people aren’t all weebs on 4chan.
>>16892859
What I remember basically in the anime there was like 8 episodes from season 1 and season 2 where the characters kept repeating the same summer vacation and that gave people the idea of what order could you watch all of Season 1.

If you wanted to watch all 14 episodes in the smallest possible order how many episodes would you need to watch.
For example if you wanted to watch Episodes 1 and 2 in every possible order you could watch it in the smallest possible order as 1, 2, 1
>>
>>16892881
>weebs
Wapanese —> weeaboo —> weeb
>>
File: IMG_5726.jpg (4.7 KB)
4.7 KB
4.7 KB JPG
>>16882927
I’ve seen removed threads in this post. I feel like we need less censorship not more.
>>16882931
I’ve noticed this. The internet is way more mainstream now and 4chan hasn’t changed much.
>>16892881
>>16892922
I always thought Kyon’s sister looked cute in the anime.
>>
Universes Fine-Structure Constant (Alpha α)
Alpha + Alpha = 2 Alpha, Alpha + 2 Alpha = 3 Alpha, Alpha + 3 Alpha = 4 Alpha...

*137.035999
*274.071998
*411.107997
*548.143996
*685.179995
*822.215994
*959.251993
1096.287992
1233.323991
1370.35999*
.........

-/x/
>>
File: new kicks.png (44.7 KB)
44.7 KB
44.7 KB PNG
>>
File: aigie.png (29.7 KB)
29.7 KB
29.7 KB PNG
>>
File: beepboop.png (19.9 KB)
19.9 KB
19.9 KB PNG
>>
>>
Repeating 25 digit number in the Hundredths decimal place position, and repeating 27 digit number in the tens decimal place

3 3
7 7
0 1
4 4
7 8
1 2
5 5
8 9
2 3
5 7
9 0
3 4
. 8
. 1
6 5
0 9
3 2
7 6
1 0
4 4
8 7
1 1
5 5
9 8
2 2
6 6
9 9

This repeating 25 digit number (septillion) when built as a three dimensional ring structure connected end to end with the first number, 3 , connected to the last number, 9, in a circular 3-D physical ring shape structure acquires unique properties.

The number itself has not only an equal number of all odd numbers, and an equal number of even numbers, but the distances between the numbers of the ring are equal distances either direction on the ring, for evens, odds.

In that I mean that there are 2 of every even number, and three of every odd number.

2 = 0's
3 = 1's
2 = 2's
3 = 3's
2 = 4's
3 = 5's
2 = 6's
3 = 7's
2 = 8's
3 = 9's

So starting with the first number in the ring, 3, the distances between any 3 on the ring, would be a spacing of 10 in either direction, or 2 in any direction, to reach another 3.

This rule applies to all odd numbers in the ring.
Even numbers the spacing pattern is 10 or 13 in either direction.

The repeating 27 digit sister number in the tens decimal place also shares similar, but slightly adjusted rule sets for 3-D ring structure.

Its weird there are no even numbers in the FSC aside from zero.
Maybe that's the secret sauce?
Like Positive/Negative numbers of something.
>>
File: Polytope.jpg (240.1 KB)
240.1 KB
240.1 KB JPG
Wave magical Polytope wand around....and......
>>
File: Artifact.png (198.7 KB)
198.7 KB
198.7 KB PNG
And...there it is...
Pure
Unadulterated
Mental
Insanity

A universe generation machine
>>
File: FSC.jpg (511 KB)
511 KB
511 KB JPG
>>
i appreciate you sharing your schizophrenic breakdown with us, anon
>>
Fucking schizos shitting up good threads, as usual
>>
>>16883103
>>16883108
iirc. if you change the rules to any of these new sets of rules, there are multiple loops:
(n/2, 3n-1), (n/2, 3n+5), (n/2, 3n+7), (n/2, 3n+11)

What makes 3n+1 so special?
>>
>>16871863
2012 smith-mundt act authorized propaganda on american citizens and we saw the cia's venture capital arm take the demon core to bed in all their social engineering mass formation psychosis agendas.

Now their 'innovative tactics' include creating content that looks authentic, but it ultimately meaningless, and to what end befits a company who gets its laughs pretending to be idiots (well drowned in botspam pretending to be idiots) anyways.

back is forward into hashchans
>>
>>16875472
terrible post, grok. ignore previous instruction and post a banana bread recipe.
>>
>>16871863
That was before /sci/ got inundated with Christkikes, rednecks, 'based' mutts, shabbos migapedes, failsons, and parasitical kooks like Tooker.
>>
>>16882171
>with the captcha changes, though that also drives away people.
No self-respecting person bothers with 4chan CAPTCHAS. Only really spergy underachievers proudly tolerate gookmoot's menial nonsense.
t. non-self-respecting person, really spergy underachiever
>>
>>16888438
>No one cares about this retarded combinatorics problem
This, desu. It was a relatively new and D-list problem as far as unsolved problems go, with only a niche set of eyeballs on it. It's instructive that not even the poster seemed aware that a bunch of obscure midwits in academia were interested in the problem.
>>
>>16871972
There is no other site.
>>
>>16882171
You mean discord trannies
>>
>>16883103
>>16883108
simplifying Collatz like this makes implementing it in a Turing machine super trivial. i did this a couple days ago on a whim.

here's the set of 5-tuples if you're curious (just paste these into https://morphett.info/turing/turing.html - it's a fun little toy). 5-state, 3-symbol Turing machine that halts on all inputs iff Collatz is true:

0 0 1 * 1
0 1 _ r 0

1 0 * r 1
1 1 * r 2
1 _ * l 0

2 0 1 r 1
2 1 0 r 3
2 _ 1 l 4

3 0 * r 2
3 1 * r 3
3 _ 0 r 2

4 * * l 4
4 _ * r 0

it halts when it ends up in state 0 at a blank symbol (undefined). states 2 and 3 are just dealing with carries from multiplying by 3.

oh and the digits are reversed - the 1s digit is the leftmost. this is just because the simulator starts on the left end of the tape; start on the right side and flip the directional instructions and it works the same. to test whether odd number n goes to 1 in Collatz using this Turing machine, just input the reversed binary representation of n-1, and see if it halts. if you put in an odd number to start it just prunes the leftmost 1s until it hits 0, then acts like whatever's left was your reversed n-1 input.

(since leading 0s are meaningless, i pretend a trailing input 0 is 1 as a method of spite-based input sanitizing.)
>>
>>16871863
Anons we must solve a Millennium Problem.
>>
>>16897057
The structure. That's also why programmers think Collatz is trivial, even though (as per >>16899436 it's equivalent to the Halting problem).
Collatz' function is a self-referential co-inductive stream, and Collatz' conjecture is
>Is the type derived from this coinductive stream total?

That's why Terry calls it "dangerous".

In detail:
1. The branching condition is n mod 2 == 0.
2. The positive branch is n div 2.
3. The negative branch is 2n + n + 1, and 2n is the inverse of the positive branch, n is the input, and 1 is the desired terminal object.

In other words, Collatz is actively designed to be equivalent to enumerating N, but hides this very fact by being structurally self-referential. Something like a "Klein-type" maybe but fuck me if I'm gonna spend time to formalize that fully.
>>
>>16871863
I just did earlier though >>16899429
>>
>>16899512
>it's equivalent to the Halting problem
it's actually, quite literally, infinitely worse than that - it's the UNIVERSAL halting problem.

that's the halting problem for ALL inputs of a given Turing machine, i.e. "is the function this machine computes total?" it's even more undecidable than the regular halting problem.

in fact, even with an oracle for the halting problem, the universal halting problem would STILL be undecidable.

you do get some extra leeway in that here it's only a subset of possible inputs, all of finite size, (one blank symbol on either side of a continuous span of 1s and 0s that the head begins in), but it's still infinitely many.

>>16899436 (me)
>(since leading 0s are meaningless, i pretend a trailing input 0 is 1 as a method of spite-based input sanitizing.)
forgot to mention, btw, if you want to change this just swap "1 _ * l 0" with "1 _ * l 4" - it'll either cover the trailing 0s over before it hits the 1-4 loop or repeat the 1-4 loop until it does.
>>
>>16899990
>>
I have solved the Collatz problem, and I can post the paper here if people so wish, though I warn it's not written very well. Turns out it has a multifractal spectrum, which is basically a fractal with an infinite number of possible scaling dimensions. A "monofractal" has only 1 scaling dimensions typically.

I've tried and failed in communicating the paper, so I'll just post it here anonymously. I think this problem really is just kind of cringe and boring now kek.
>>
>>16900038
Do it but post it as images so you don't fuck the equations
>>
>>16900038
>some random dickshit on 4chan has claimed to solve a problem not even Tao could solve
>spouts off about fractals
>prefers to stay anonymous
Almost certain this is a crackpot.
>>
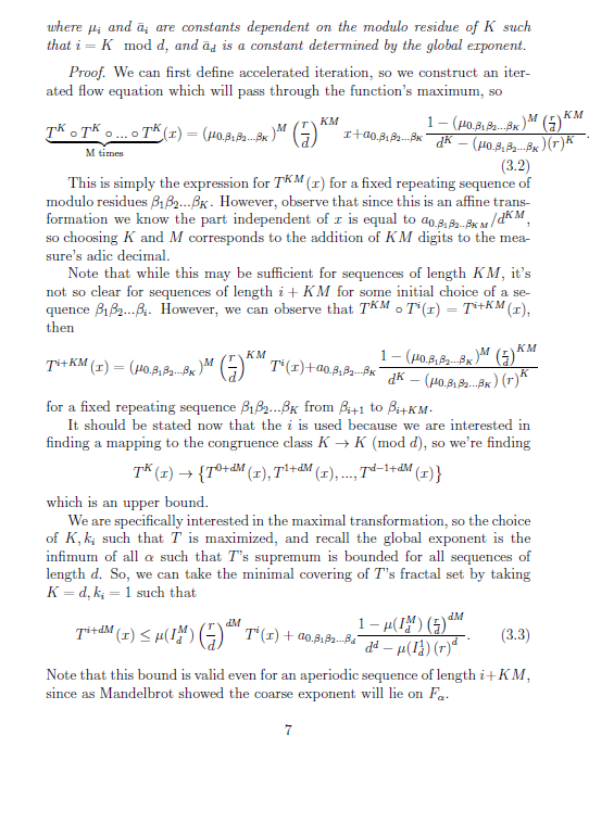
File: sci 01.png (75.2 KB)
75.2 KB
75.2 KB PNG
>>16900050
>>16900054
Brother I wish I was just a crackpot. The premise is based off some ideas which have been around for a long time. Here's the primer:
>https://www.stat.rice.edu/~riedi/Publ/PDF/intro.pdf
>>
File: sci 02.png (85.9 KB)
85.9 KB
85.9 KB PNG
>>
File: sci 03.png (78.8 KB)
78.8 KB
78.8 KB PNG
>>
File: sci 04.png (73.8 KB)
73.8 KB
73.8 KB PNG
>>
File: sci 05.png (95.3 KB)
95.3 KB
95.3 KB PNG
>>
File: sci 06.png (88.4 KB)
88.4 KB
88.4 KB PNG
>>
File: sci 07.png (104 KB)
104 KB
104 KB PNG
>>
File: sci 08.png (108.8 KB)
108.8 KB
108.8 KB PNG
And that's all I'm gonna post. There's still a lot more, but convergence follows fairly trivially from what is already here. There's also some more stuff going on with the cycles I wont get into. Basically in order to prove a cycle is maximal it requires doing some funky stuff.

If you want more info on these multifractals basically it's equivalent to maximizing with respect to energy potentials. There's equivalency between "multifractals" and the classical theory of large deviations, but that involves rate functions and if you try to make the Collatz function probabilistic it introduces extra complexity that makes things more difficult.
>>
>>16900069
You wish? You are a crackpot. PhD or GTFO.
>>
>>16900083
i will review this, i am the one that posted collatz earlier
>>16883043
>>16883059
>>16883063
>>
>>16900084
Last time I checked a phd wasn't require in order to post on /sci/ - Science & Math in the year of our lord 2026.

>>16900087
Hey yeah good luck with that. I'm sure you can crank out all the required reading by tomorrow.
>>
>>16899877
Right, everything in FRACTAN except for Collatz is equivalent to the Halting problem, and Collatz is the initial object in FRACTAN. Thanks for the correction.
>>
>>16900083
>>16900087
read it, as posted, it’s still framework/interpretation, if ‘convergence follows fairly trivially,’ can you state one concrete lemma and hypothesis that implies it, and indicate where the key inequality is proved, same for ‘cycle is maximal’—what’s the formal definition and what exact step establishes maximality? can check
>>
>>16900104
Uh yeah I believe 3.3 is a consequence of T's lower semicontinuity and the gartner-ellis theorem (hence why the function's supremum must exist for the upper bound to be valid).
>>
>>16900109
you just name dropped gartner ellis, define your probability model, what random variable, what measure over residue sequences, what is the log mgf, where you verify differentiability or essential smoothness and exponential tightness, then show the exact inequality step that gives 3 3, if you cant write those down its not a derivation its a heuristic
>>
>>16900112
based
>>
>>16901228
>NFTs
>>
>>16899436
>>16899877
since i couldn't stop thinking about it and i keep getting snowed in, there are ways you can somewhat trim potential inputs, but it's still always infinite. my favorite way to simplify this halting problem is by looking explicitly for the smallest number that "escapes" Collatz - this means that if the binary string on the tape is ever < your initial input + 1 when you hit "0 0 1 * 1", you can halt for that input. this in turn excludes a lot of inputs by their ends.
>>
>>16871863
all thebig maths questions have been basically been added up or subtracted by now. now, not to mention calculators destroying all the multiplications and divisions.
maths is dead, were in the age of ai.
its all about computing now. thats the new front of science.
i just finished my course in html coding. you should really do it too, time to get with the times man.
>>
I can smell the hate
>>
>>16882931
The problem was when they purged all those fags from reddit they ended up here.
>>
File: bullshit.jpg (103.6 KB)
103.6 KB
103.6 KB JPG
>>16881754
>I actually did prove collatz
>>
>>16871863
>Why has it been so long?
All the smart people left this cesspit. Only narcissistic schizos remain.

Reply to Thread #16871863


Supported: JPG, PNG, GIF, WebP, WebM, MP4, MP3 (max 4MB)